首页 》 专家介绍
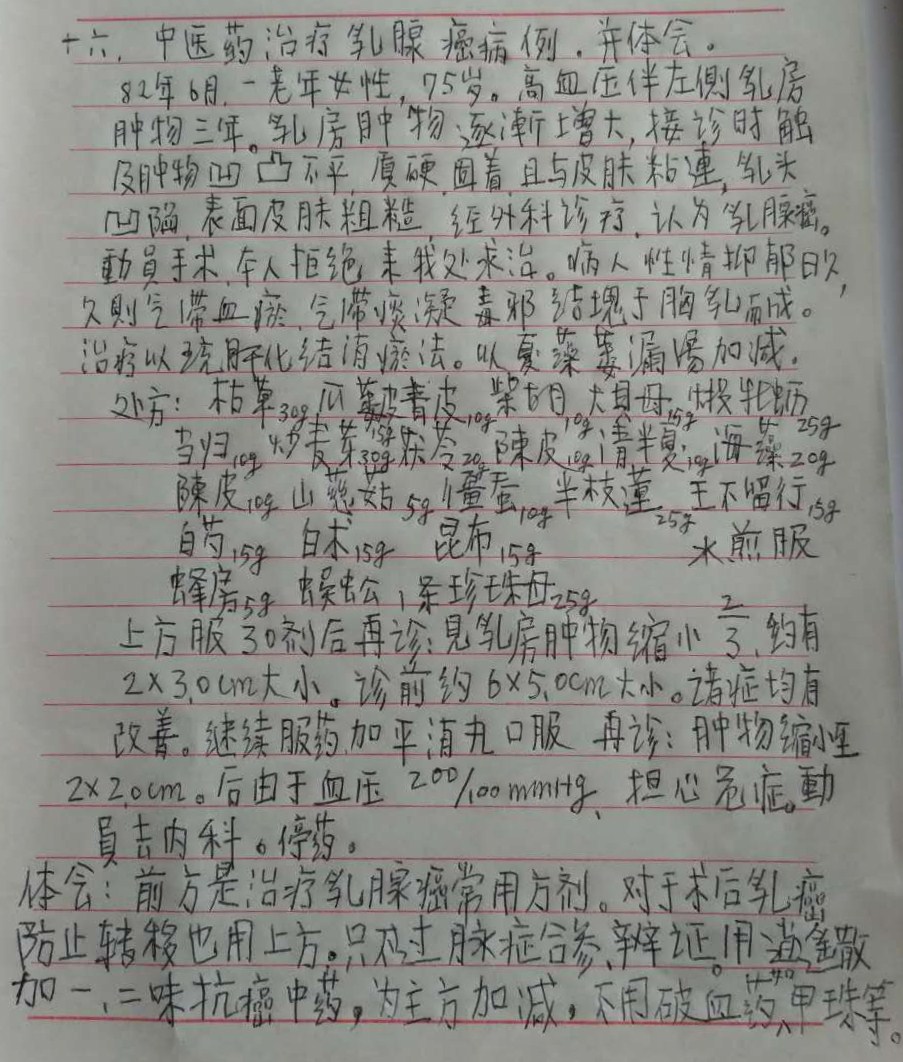
王福田付主任中医师医案连载(12)中医药治疗乳腺癌病例,并体会
日期:2018-07-13 阅读:1649次 作者:网站管理员 来源:

  编者按:王福田付主任中医师毕业于辽宁中医学院(现辽宁中医药大学),锦州医科大学附属第三医院肿瘤科主任,曾参加国家七五攻关项目肺瘤平药物临床验证工作。从事中医、中西医结合临床工作近50年,在治疗各种肿瘤和内科杂症方面取得了丰富的经验,并总结了大量医案。他对中医药学、中西医结合的发展、对人民的健康事业作出了贡献。由于王福田先生专心中医、中西医结合临床业务,不十分精通电脑,所以所有医案均为笔耕,这也可以看出他的敬业精神。现将王福田先生的医案连载推荐给大家,相信读此医案者,必有收 益。

0e0ee75eec221e6a91bfefb01f089bc6.jpg         

                                                 hdImg_c48f899041fbe9ac1734fe883b854bbd1528011186164.jpg  

          专家介绍:



       王福田 ,毕业于辽宁中医学院(现辽宁中医药大学),锦州医科大学附属三医院肿瘤科主任 ,付主任中医师。从事中医、中西医结合临床工作近50年,从毕业至今大部分时间至力于中医中药治疗癌症工作。通过学习进修学术研讨,继承发揚祖國医学遗产,在中西医结合对癌症的综合治疗方面,有进一步的认识,取得了一定疗效,总结了经验。

中医精准养生网编辑:新


版权所有 © 中医精准养生网 | 关于我们 | 联系我们 | 辽ICP备17018072号-1